Τη διανομή τακτικού τριμηνιαίου μερίσματος ύψους 0,025 δολαρίων ανά μετοχή και έκτακτου μερίσματος ύψους 0,125 δολαρίων ανά μετοχή για το α’ τρίμηνο 2024 ανακοίνωσε η Seanergy Maritime Holdings Corp. («Seanergy» ή «Εταιρεία») (NASDAQ: SHIP), μαζί με τα οικονομικά της αποτελέσματα για το ίδιο διάστημα.
Όπως αναφέρεται, κατά το πρώτο τρίμηνο του 2024, ο καθαρός κύκλος εργασιών της Εταιρείας ανήλθε στα 38,3 εκατ. δολάρια έναντι 18,0 εκατ. δολαρίων το πρώτο τρίμηνο του 2023. Τα καθαρά κέρδη και τα προσαρμοσμένα καθαρά κέρδη για το τρίμηνο ήταν 10,2 εκατ. και 11,6 εκατ. δολάρια, αντίστοιχα, σε σύγκριση με τις καθαρές ζημιές ύψους 4,2 εκατ. δολαρίων και τις προσαρμοσμένες καθαρές ζημιές ύψους 0,4 εκατ. δολαρίων το πρώτο τρίμηνο του 2023.
Το EBITDA και το προσαρμοσμένο EBITDA για το τρίμηνο ανήλθε σε 21,6 εκατ. και 23,2 εκατ. δολάρια, αντίστοιχα, έναντι 8,2 εκατ. και 3,9 εκατ. δολαρίων για την ίδια περίοδο του 2023. Ο μέσος ημερήσιος ναύλος («TCE») του στόλου για το πρώτο τρίμηνο του 2024 ήταν 24.073 δολάρια, σε σύγκριση με τα 11.005 δολάρια την ίδια περίοδο του 2023.
Τα ταμειακά διαθέσιμα, στις 31 Μαρτίου του 2024, ανέρχονταν σε 24,2 εκατ. δολάρια. Τα ίδια κεφάλαια στο τέλος του πρώτου τριμήνου ήταν 240,6 εκατ. δολάρια. Οι χρηματοοικονομικές υποχρεώσεις ανέρχονταν σε 223,2 εκατ. δολάρια στις 31 Μαρτίου του 2024, ενώ η αξία του στόλου ανήλθε στα 442,0 εκατ. δολάρια.
Ο κ. Σταμάτης Τσαντάνης, Πρόεδρος και Διευθύνων Σύμβουλος της Εταιρείας, δήλωσε: «Το πρώτο τρίμηνο του 2024 η Seanergy κατέγραψε ρεκόρ κερδοφορίας. Οι υψηλές μας επιδόσεις οφείλονται στην επιτυχημένη μας στρατηγική να είμαστε σωστά τοποθετημένοι για να εκμεταλλευτούμε τη θετική δυναμική της Capesize αγοράς που ενισχύθηκε κυρίως λόγω των υψηλότερων εξαγωγών σιδηρομεταλλεύματος, της αυξημένης μεταφοράς άνθρακα και των γεωπολιτικών εντάσεων που επηρέασαν την διαθεσιμότητα πλοίων.
Η Seanergy κατέγραψε καθαρά κέρδη ύψους περίπου 10,2 εκατ. δολαρίων, σε σύγκριση με ζημία ύψους 4,2 εκατ. δολαρίων την ίδια περίοδο του 2023. Αυτό επιτεύχθηκε κυρίως χάρη στην εντυπωσιακή απόδοση του στόλου μας, ο οποίος κατέγραψε ημερήσιο TCE ύψους 24.000 δολαρίων περίπου.
Επίσης, η Εταιρεία ανακοίνωσε τη διανομή αυξημένου τριμηνιαίου μερίσματος, ύψους 0,15 δολαρίων ανά μετοχή, καθώς το ΔΣ ενέκρινε ένα ακόμα έκτακτο μέρισμα, ύψους 0,125 δολαρίων ανά μετοχή αυτή τη φορά, πλέον του τακτικού τριμηνιαίου μερίσματος ύψους 0,025 δολαρίων ανά μετοχή. Στη βάση μιας ισχυρής Capesize αγοράς, είμαστε αισιόδοξοι ότι η Seanergy θα εφαρμόζει με συνέπεια την εταιρική της στρατηγική, η οποία περιλαμβάνει την γενναιόδωρη ανταμοιβή των μετόχων καθώς και την περαιτέρω ανάπτυξη και ανανέωση του στόλου της.
Αναφορικά με τις προβλέψεις μας για το δεύτερο τρίμηνο του 2024 και λαμβάνοντας υπόψη τα τρέχοντα επίπεδα των FFA, αναμένουμε το ημερήσιο TCE του στόλου μας να κυμαίνεται περίπου στα 26.400 δολάρια, ξεπερνώντας πιθανότητα τα επίπεδα της Capesize αγοράς κατά την ίδια περίοδο, χάρη στη στρατηγική αντιστάθμισης κινδύνου που ακολουθούμε. Επίσης, όσον αφορά το δεύτερο μισό του 2024, έχουμε κλειδώσει περίπου το 33% των ημερών μας στα 30.000 δολάρια την ημέρα.
Σχετικά με τις εξελίξεις του στόλου μας, από την αρχή του χρόνου συμφωνήσαμε την αγορά δύο ακόμα Ιαπωνικών Capesize πλοίων, κατασκευής 2012 και 2013, ύψους 69,3 εκατ. δολαρίων, τα οποία θα χρηματοδοτηθούν με ίδια κεφάλαια και δανεισμό. Η παράδοση τους αναμένεται να πραγματοποιηθεί στους επόμενους μήνες, ενώ συνεχίζουμε να εξετάζουμε ευκαιρίες για την περαιτέρω ενίσχυση του στόλου μας, με ποιοτικά πλοία.
Αναφορικά με τις προοπτικές της αγοράς, το πρώτο τρίμηνο του 2024, αντίθετα με τη συνήθη εποχικότητα, ήταν το ισχυρότερο της τελευταίας δεκαετίας για τον κλάδο των Capesize. Οι εξαγωγές σιδήρου από τη Βραζιλία αυξήθηκαν κατά 12% περίπου σε σχέση με το προηγούμενο έτος και ήταν οι υψηλότερες από το 2019, ενώ παράλληλα η μεταφορά άνθρακα δια θαλάσσης παρέμεινε σε πολύ υψηλά επίπεδα. Τα ιστορικά χαμηλά επίπεδα παραγγελιών νεότευκτων πλοίων φαίνεται να συμβάλλουν σε μια σταδιακά ανοδική ισορροπία μεταξύ προσφοράς και ζήτησης, ενώ η γεωπολιτική ανασφάλεια που σχετίζεται με την κρίση στην Ερυθρά Θάλασσα έχει επίσης επιδράσει ευνοϊκά στην αγορά των Capesize.
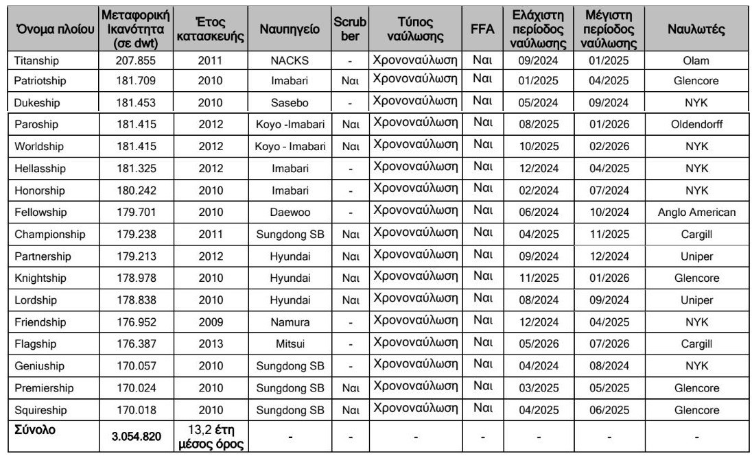
Ο στόλος της Εταιρείας

Πλοία υπό παράδοση

Οι τρέχουσες παραγγελίες για νεότευκτα πλοία υποδεικνύουν ετήσια ανάπτυξη του στόλου κατά 2% περίπου για το 2025 και 2026, ενώ πιθανότατα η αύξηση της ζήτησης για πλοία να υπερβεί εν τέλει αυτό το ποσοστό. Μακροπρόθεσμα, η δέσμευση που επιδεικνύουν τα μεγαλύτερα ανθρακωρυχεία παγκοσμίως για μελλοντικά αναπτυξιακά έργα, μαζί με τους περιορισμούς που επιβάλλονται στην ανάπτυξη του στόλου λόγω των όλο και πιο αυστηρών περιβαλλοντικών κανονισμών, αναμένεται να λειτουργήσουν ως θετικοί καταλύτες για την αγορά μας.
Η Seanergy έχει αποδείξει την ικανότητά της να εφαρμόζει με επιτυχία το εταιρικό της πλάνο και αυτή τη στιγμή είναι βέλτιστα τοποθετημένη ώστε να ανταμείψει τους μετόχους της συνδυάζοντας μια επιτυχημένη εμπορική στρατηγική, έναν ποιοτικό στόλο και έναν ισχυρό ισολογισμό».
Διαβάστε ακόμη:
- Η Mytilineos αλλάζει όνομα και… πίστα και γίνεται παγκόσμιο brand
- Σούπερ σέξι: Η Χάλι Μπέρι ολόγυμνη στο μπαλκόνι της κρεβατοκάμαράς της
- Εμφάνιση Τσίπρα στην βλαχομπαρόκ «Λέσχη Μπίλντεμπεργκ» των Βορείων Προαστίων
- Μητσοτάκης: «Nαι» στις άμεσες ξένες επενδύσεις – Φρεζάδου: Όχι στους ξένους επενδυτές!